Maskininlärning har potential inom reservsättning Försäkringsteknik Svenska För elfte gången delades i oktober förra året aktuariepriset ut vid SCORs Livförsäkringskonferens av representanter för Aktuarieföreningen och SCOR. 2024 gick det till Vilma...
Flera intressanta teman på årets livförsäkringskonferens Omvärld och trender Skadeförebyggande Försäkringsteknik Återförsäkring Svenska I den här artikeln ger vi en bild av det som hände på SCOR Sweden Re:s årliga livförsäkringskonferens. Förutom presentationer av VD Svein Børre Solvang och Jeremy Speed från...
Dödlighetsundersökning ─ till nytta för en aktuarie Försäkringsteknik Svenska Dödlighetsundersökningar görs regelbundet med hjälp av livbolagens aktuarier. I slutet av september publicerade Svensk Försäkring en ny sådan undersökning. Vi har träffat ...
Næringslivsforsikringer Forsikringsteknikk Norska Innledning Forsikringer for næringslivet er et vidt område. Det omfatter alt fra enkeltmannsforetak og mindre virksomheter til store internasjonale konsern. Dermed er o...
Delkaskoförsäkringar och prissättningsmetoder Försäkringsteknik Svenska Delkaskoförsäkringen är en fordonsförsäkring som täcker ett flertal olika skador såsom glas, stöld, brand, räddning och maskin. Trafikförsäkringen tillsammans med en delk...
BlockChain – en del af fremtidens forsikring? Forsikringsteknik Danska De fleste har enten hørt om BlockChain eller kender BlockChain i forbindelse med kryptovalutaen Bitcoin. BlockChain-teknologien er dog meget andet end Bitcoins og anvende...
Med Fullmaktskollen blir det enklare för både konsumenter och aktörer Försäkringsteknik Svenska Under första kvartalet 2016 inleds utrullningen och anslutningen till Fullmaktskollen, vars syfte är att underlätta och förenkla för konsumenterna. De ska på ett enkelt sätt...
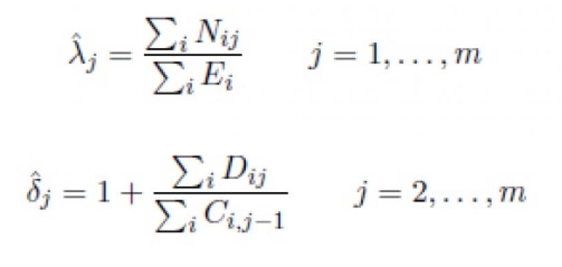
Separation av IBNYR och IBNER i reservsättningen för sjuk- och olycksfallsskador Försäkringsteknik Svenska När en försäkringstagare tecknar en försäkring ingår försäkringsbolaget ett åtagande som kan vara lång tid efter det att avtalet slutat gälla. Skador kan rapporteras och slu...
Nye uføreregler i Norge fra 2015 Forsikringsteknikk Norska Nye uføreregler fra 2015 skal få flere uføre i arbeid og gjøre det lettere å kombinere arbeid og uføretrygd. Samtidig blir det innført egne «uføreoppgjør» som vil komme ette...
The impact of the underlying interest rate process Insurance actuarial science Engelska Insurance companies use different types of interest rate models for the same type of valuation, the valuation of the time value of options and guarantees (TVOG). This paper ...
Livförsäkringsmatematik - andra upplagan Försäkringsteknik Svenska Livförsäkringsmatematik är i första hand tänkt som en introduktion för blivande aktuarier, med tonvikten lagd på livförsäkringsmatematik. Boken går igenom de grundläggande b...
Solving the innovation puzzle Insurance actuarial science Engelska For the past 500 years, the banking and insurance industries have struggled to balance innovation with stability and conventionality – with innovation suffering as a result....
What role can contract law play in making risky technological projects safer and less expensive? Insurance actuarial science Engelska The role of contracts and insurance in addressing the risks of failure associated with large and complex projects was the topic explored at the 8th ROFF-SAMRISK seminar held...
Sundhedsforsikringer i Danmark – marked contra regulering Forsikringsteknik Danska Antallet af arbejdsgiverbetalte sundhedsforsikringer er vokset voldsomt i Danmark siden en lovændring i 2002 gjorde disse skattefrie for medarbejderne. Der er livlige politi...
Sjuklighetsundersökning inom svensk försäkring - insjuknande och avveckling 2000-2007 Försäkringsteknik Svenska De beräkningsantaganden som många svenska försäkringsbolag idag använder för sjukförsäkring bygger i stor utsträckning på statistik från 1980-talet. Vissa bolag har uppdater...