Separation av IBNYR och IBNER i reservsättningen för sjuk- och olycksfallsskador

Artikkelforfatter: Anna Flodström
Position: Aktuarie
E-mail: anna.flodstrom@lansforsakringar.se
Organization: Länsförsäkringar
Udgave:
4, 2015
Språk: Svensk
Kategori:

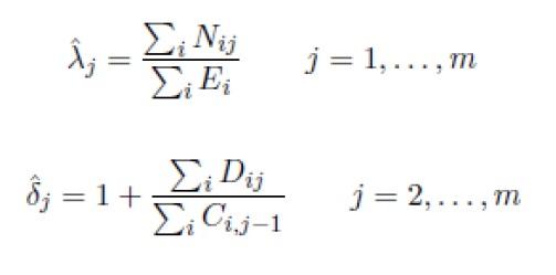
När en försäkringstagare tecknar en försäkring ingår försäkringsbolaget ett åtagande som kan vara lång tid efter det att avtalet slutat gälla. Skador kan rapporteras och slutregleras många år efter den tidpunkt då de faktiskt inträffade. För att kunna garantera försäkringstagaren ersättning för inträffade (men ej slutreglerade) skador är det nödvändigt med en så korrekt reservsättning som möjligt. Föreliggande studie har till syfte att avgöra möjligheten och lämpligheten av att använda Schniepers metod i reservsättningen för två av Länsförsäkringsbolagens sjuk- och olycksfallsprodukter. Speciellt är målet att undersöka hur metoden kan anpassas för att passa dessa två produkter, exempelvis vad gäller utjämning av faktorer och så kallad svansskattning. Utfallet utvärderas mot standardmetoden DFM.

Försäkringsbolaget SCOR Sweden Re instiftade i samband med sitt 100 års-jubileum 2014 ett pris om 25000 kr för årets bästa diplomarbete. Med diplomarbete avses det självständigt utförda arbete som skall skicka in som en del av ansökan om diplomerat medlemskap i Aktuarieföreningen. Pristagaren väljs årligen av en priskommitté utsedd av Aktuarieföreningens styrelse. 2015 var det Anna Flodström, aktuarie på Länsförsäkringar, som fick motta detta pris för den studie/diplomarbete som här redovisas.

Studien återfinns nedan, som pdf-fil.